• Предмет: Алгебра
  • Автор: ledyStyle
  • Вопрос задан 10 лет назад

решите уравнение б).Очень прошу, с решением:*

Приложения:

Ответы

Ответ дал: limonny
0
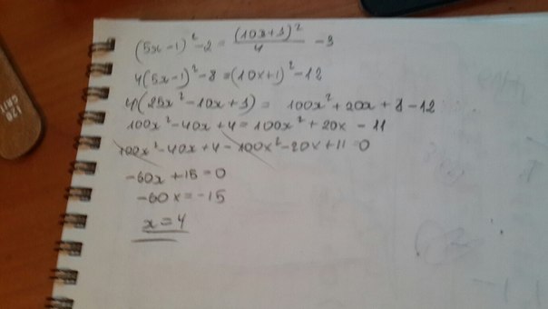
Вот вроде правильно все
Приложения:
Ответ дал: Rossomaxa2001
0
1/4 должна получиться , судя по решению
Ответ дал: limonny
0
а да точно
Ответ дал: ledyStyle
0
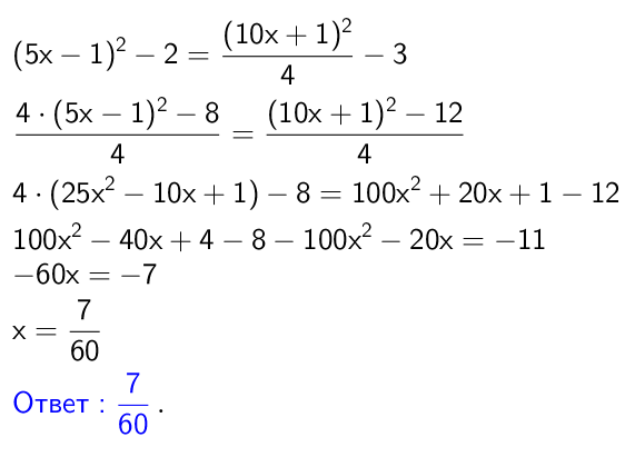
ответ 7/60, да. а какое решение? напишите, пожалуйста:*
Ответ дал: SkyBy
0
Смотрите решение в прикреплённом файле.
Приложения:
Ответ дал: ledyStyle
0
спасибо большущее)
Вас заинтересует