Ответы
Ответ дал:
0
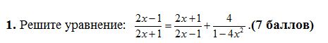
Смотрите решение в прикреплённом файле.
Приложения:

Ответ дал:
0
Спасибо огромное)
Вас заинтересует
2 года назад
7 лет назад
10 лет назад
10 лет назад
10 лет назад