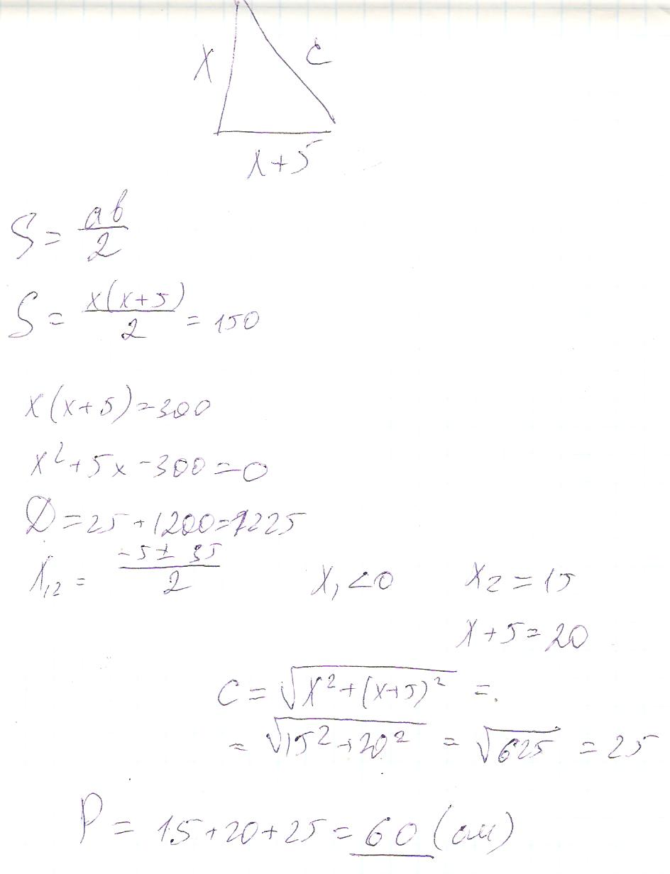
один катет прямоугольного треугольника больше другого на 5 см.найдите периметр этого треугольника если его площадь равна 150 см в квадрате
Ответы
Ответ дал:
0
надеюсь будет понятно...
Приложения:

Вас заинтересует
2 года назад
2 года назад
8 лет назад
8 лет назад
10 лет назад
10 лет назад
10 лет назад
10 лет назад