50 БАЛЛОВ!!!!
Решите прошууу
P2O5+KOH
koh + h2so4
Там нужно поставить цифры перед формулами поомему какие то
И заряды какие - или +
Помоему называется ионное уравнение
Приложения:
Ответы
Ответ дал:
0
1)6KOH+P2O5=2K3PO4+3H2O
6K(+) +6OH(-) + P2O5=6K(+) + 2PO4(3-)+ 3H2O
6OH(-) + P2O5=2PO4(3-) + 3H2O
2) 2KOH+H2SO4= K2SO4+ 2H2O
2K(+) + 2OH(-) + 2H(+) + SO4(2-) = 2K(+) + SO4(2-) + 2H2O
2OH(-) + 2H(+) = 2H2O
OH(-) + H(+) = H2O
3) Na2CO3+2HNO3= 2NaNO3 + H2O + CO2
2Na(+) + CO3(2-) + 2H(+) + 2NO3(-) = 2Na(+) + 2NO3(-) + H2O + CO2
CO3(2-) + 2H(+) = H2O+CO2
4)8Mg+ 4CO2 = 8MgO + C4(если я так увидела) Ионного нет.
5) K2O+ N2O5= 2KNO3- ионного нет
6) Ca+ 2H2O = Ca(OH)2 + H2 - ионного нет.
П.сы: все, что в скобочках, это степени окисления
6K(+) +6OH(-) + P2O5=6K(+) + 2PO4(3-)+ 3H2O
6OH(-) + P2O5=2PO4(3-) + 3H2O
2) 2KOH+H2SO4= K2SO4+ 2H2O
2K(+) + 2OH(-) + 2H(+) + SO4(2-) = 2K(+) + SO4(2-) + 2H2O
2OH(-) + 2H(+) = 2H2O
OH(-) + H(+) = H2O
3) Na2CO3+2HNO3= 2NaNO3 + H2O + CO2
2Na(+) + CO3(2-) + 2H(+) + 2NO3(-) = 2Na(+) + 2NO3(-) + H2O + CO2
CO3(2-) + 2H(+) = H2O+CO2
4)8Mg+ 4CO2 = 8MgO + C4(если я так увидела) Ионного нет.
5) K2O+ N2O5= 2KNO3- ионного нет
6) Ca+ 2H2O = Ca(OH)2 + H2 - ионного нет.
П.сы: все, что в скобочках, это степени окисления
Ответ дал:
0
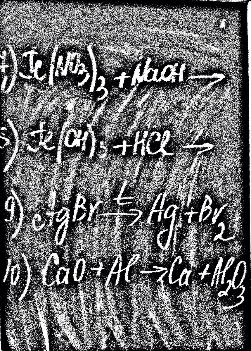
А вторую картинку?
Ответ дал:
0
Вторую картинку без ионных уравнений, просто цифрки расставить и все, прошууу
Вас заинтересует
3 года назад
3 года назад
8 лет назад
8 лет назад
10 лет назад
10 лет назад
11 лет назад