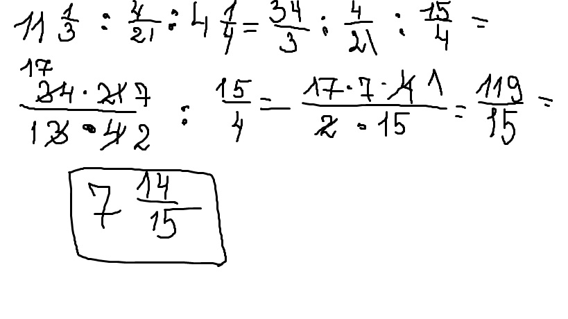
Решите пример: 11 целых 13 делёная на 421 и делёная на 4 целых 14
<< Закрыть ЧИТАЙТЕ ТАКЖЕ загрузка...Ответы
Ответ дал:
0
решила, смотри во вложении
Приложения:

Вас заинтересует
2 года назад
8 лет назад
8 лет назад
10 лет назад
10 лет назад
10 лет назад