• Предмет: Алгебра
  • Автор: L1i2z3
  • Вопрос задан 10 лет назад

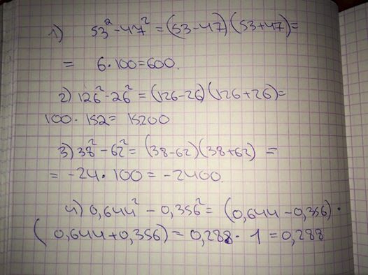
С помощью формулы разности квадрата вычислите:
1) 53^2-47^2
2)126^2-26^2
3) 38^2-62^2
4) 0,644^2-0,356^2

Ответы

Ответ дал: EmmaSwan98
0
Решение на фотографии :)
Приложения:
Вас заинтересует