• Предмет: Алгебра
  • Автор: marina244
  • Вопрос задан 10 лет назад

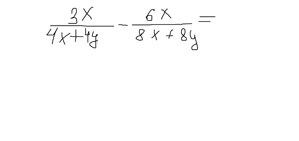
СРОЧНО ПОМОГИТЕ РЕШИТЬ

Приложения:

Ответы

Ответ дал: mefody66
0
Сократи вторую дробь на 2 и результат получится 0
Вас заинтересует