Ответы
Ответ дал:
0
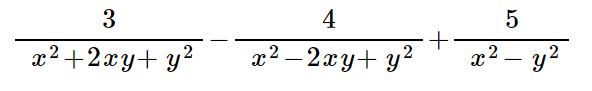
3/(x²+2xy+y²)-4/(x²-2xy+y²)+5/(x²-y²)=
=3/(x+y)²-4/(x-y)²+5/(x-y)(x+y)=
(3x²-6xy+3y²-4x²-8xy-4y²+5x²-5y²)/(x-y)²(x+y)²=
=(4x²-14xy-6y²)/(x-y)²(x+y)²
=3/(x+y)²-4/(x-y)²+5/(x-y)(x+y)=
(3x²-6xy+3y²-4x²-8xy-4y²+5x²-5y²)/(x-y)²(x+y)²=
=(4x²-14xy-6y²)/(x-y)²(x+y)²
Вас заинтересует
2 года назад
8 лет назад
10 лет назад
10 лет назад
11 лет назад