• Предмет: Алгебра
  • Автор: Lauren
  • Вопрос задан 11 лет назад

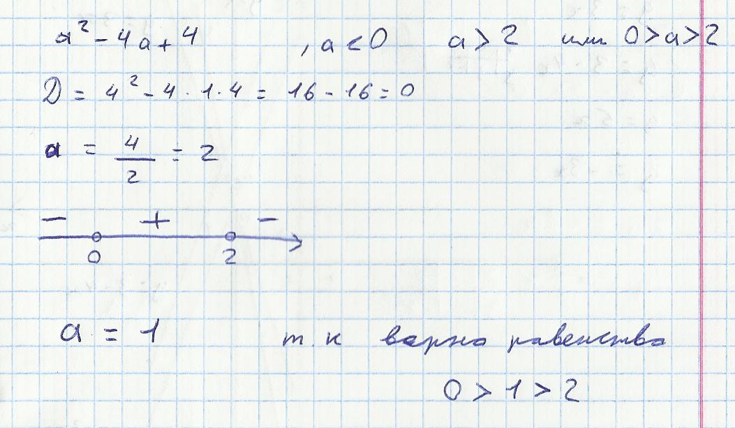
в корне a^2-4a+4 упростите выражения, если а меньше 0 и а больше 2

Ответы

Ответ дал: DimonKent
0

Записывай все как на рисунке:

Приложения:
Вас заинтересует