Ответы
Ответ дал:
0
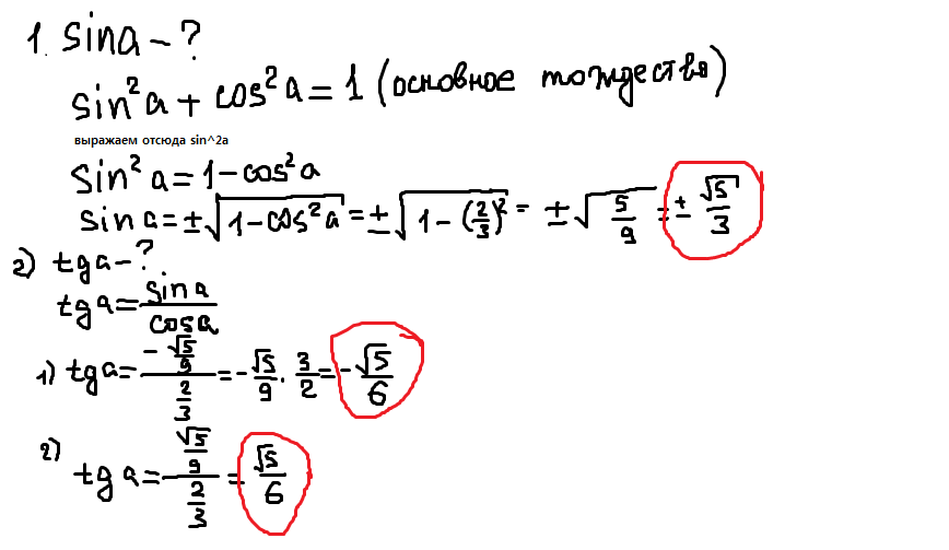
1.Сначала найдем sin a.
Его мы может найти из основного тригонометрического тождества.
2. Зная значение синуса, мы можем найти тангенс
а тангенс по определению это отношение синуса к косинусу
-----------
Если есть вопросы, спрашивайте!
Его мы может найти из основного тригонометрического тождества.
2. Зная значение синуса, мы можем найти тангенс
а тангенс по определению это отношение синуса к косинусу
-----------
Если есть вопросы, спрашивайте!
Приложения:

Вас заинтересует
2 года назад
2 года назад
7 лет назад
7 лет назад
10 лет назад
10 лет назад