• Предмет: Алгебра
  • Автор: Аноним
  • Вопрос задан 10 лет назад

кто поможет решить?((((())))(()()()()()()()()()()()()()()()()(

Приложения:

Ответы

Ответ дал: Аноним
0
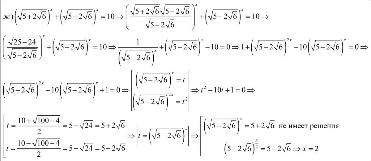
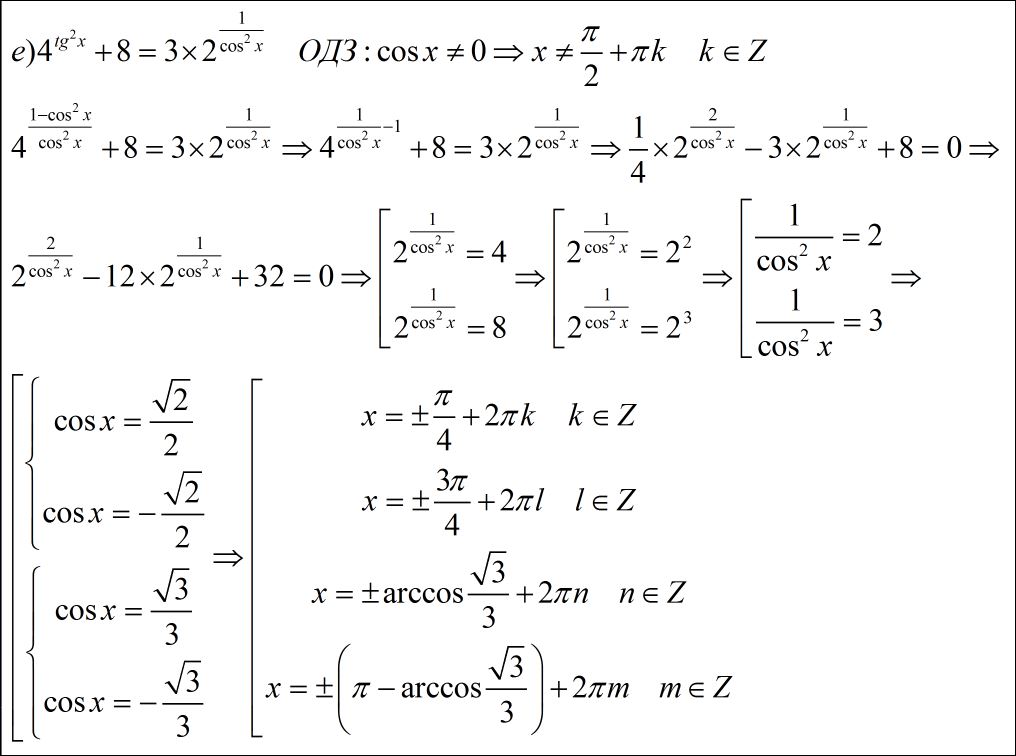
решение смотри во вложении..........................
бедный-бедный ребенок

Приложения:
Вас заинтересует