Ответы
Ответ дал:
0
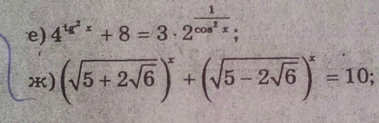
е) 





Замена:



Вернемся к замене:

1)
1.1)
, k∈Z
1.2)
, k∈Z
Объединяем решения:
, k∈Z

2)
2.1)
, k∈Z
2.2)
, k∈Z
Объединяем решения:
, k∈Z
Найдем ОДЗ:


, k∈Z
Все найденные решения удовлетворяют ОДЗ.
Ответ:
, k∈Z
, k∈Z
ж)




Замена:
, тогда:
, т.к. 




Вернемся к замене:
1)



2)


Ответ: 2, -2
Замена:
Вернемся к замене:
1)
1.1)
1.2)
Объединяем решения:
2)
2.1)
2.2)
Объединяем решения:
Найдем ОДЗ:
Все найденные решения удовлетворяют ОДЗ.
Ответ:
ж)
Замена:
Вернемся к замене:
1)
2)
Ответ: 2, -2
Ответ дал:
0
да, ошиблась в ж), степени другие. Будет +- 2
Ответ дал:
0
Пусть 2^tg²x=t, тогда имеем
t²-6t+8=0
D=36-32=4
t1=(6+2)/2=4
t2=(6-2)/2=2
Вовзращаемся к замене
Не трудно заметить что
Пусть
Вовзращаемся к замене
Ответ: ±2
Ответ дал:
0
спасибо))))))
Вас заинтересует
3 года назад
3 года назад
8 лет назад
8 лет назад
10 лет назад
10 лет назад
11 лет назад