• Предмет: Алгебра
  • Автор: krimenalka13
  • Вопрос задан 10 лет назад

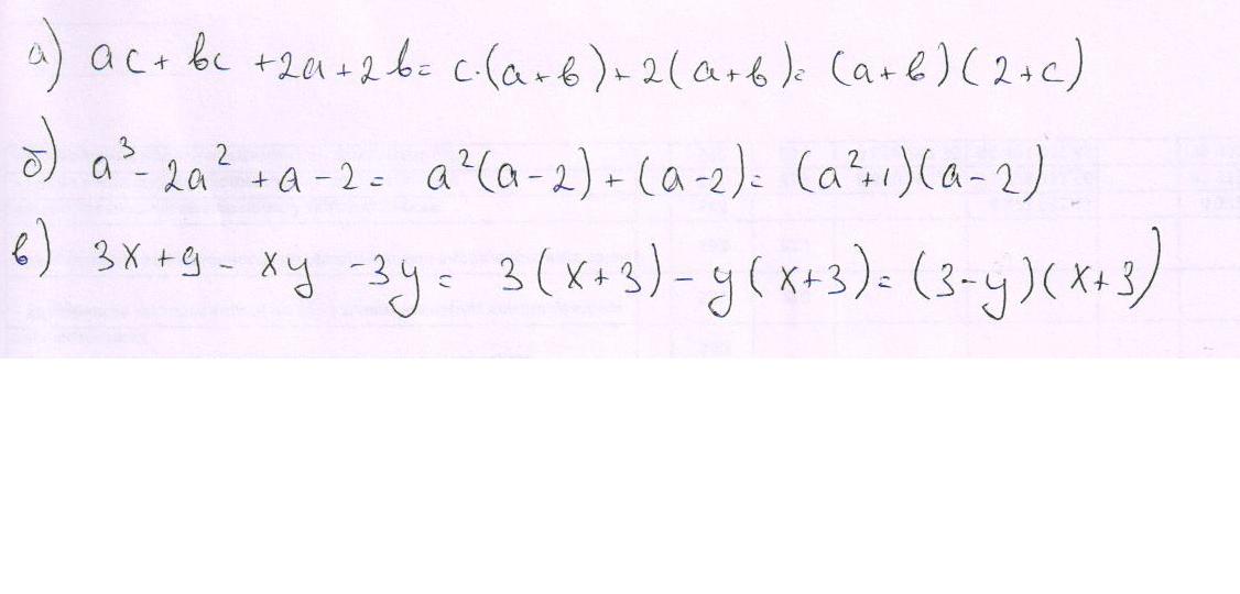
разложите на множители плииисс прошууууу

Приложения:

Ответы

Ответ дал: ATLAS
0
ac+bc+2a+2b=(ac+bc)+(2a+2b)=c(a+b)+2(a+b)=\=(a+b)(c+2)\\a^3-2a^2+a-2=(a^3-2a^2)+(a-2)=a^2(a-2)+(a-2)=\(a-2)(a^2+1)\\3x+9-xy-3y=(3x+9)-(xy+3y)=3(x+3)-y(x+3)=\=(x+3)(3-y)
Ответ дал: ewgenijbark
0
см файл
\\\\\\\
Приложения:
Вас заинтересует