• Предмет: Математика
  • Автор: rrafautdinov80
  • Вопрос задан 10 лет назад

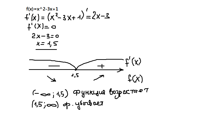
найти промежутки возрастания и убывания функции f(x)=x^2-3x+1

Ответы

Ответ дал: 98niknat
0
Вот!!!!!!!!!!!!!!!!!!!!!!!!!!!!!!!!!!
Приложения:
Ответ дал: 98niknat
0
выложите снова вопрос только с этим заданием
Вас заинтересует