• Предмет: Алгебра
  • Автор: Mario17
  • Вопрос задан 10 лет назад

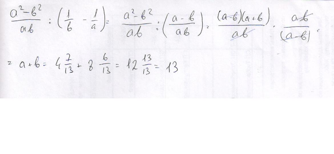
Най­ди­те зна­че­ние вы­ра­же­ния ↓ при и a=4 целых 7/13 и b= 8 целых 6/13

Приложения:

Ответы

Ответ дал: ewgenijbark
0
см. файл
\\\\\\\\\\\\
Приложения:
Вас заинтересует