Ответы
Ответ дал:
0
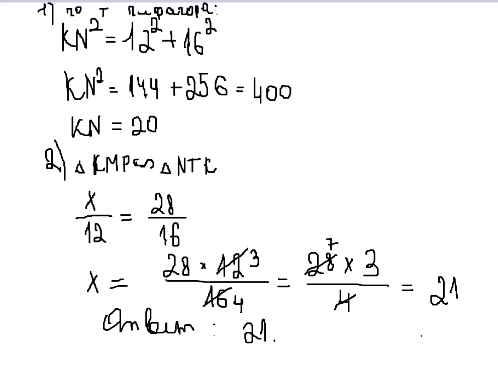
17)на картинке другие сейчас решу))
Приложения:

Вас заинтересует
2 года назад
7 лет назад
10 лет назад
10 лет назад
10 лет назад