• Предмет: Математика
  • Автор: voevodim02Yulilk
  • Вопрос задан 10 лет назад

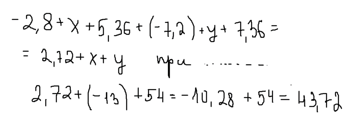
-2.8+х+5.36+(-7.2)+у+(7.36). если х= -13,у=54

Ответы

Ответ дал: Ichapanova
0
РЕшение на картинке)сори за неаккуратность)
Приложения:
Ответ дал: Ichapanova
0
там 24//9
Ответ дал: Ichapanova
0
??
Ответ дал: voevodim02Yulilk
0
а полностью как ты решила запиши
Ответ дал: voevodim02Yulilk
0
-2 4//9
Вас заинтересует