• Предмет: Математика
  • Автор: Nastja32
  • Вопрос задан 10 лет назад

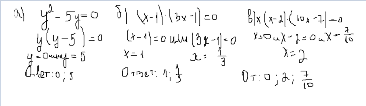
Помогите пожалуйста решить уравнения : а) y^2-5y=0 б) (х-1)(3х-1)=0 в) х(х-2)(10х-7)=0 г)(х+5)(х^2-9х)=0 спасибо за решение!!

Ответы

Ответ дал: Ichapanova
0
решение на картинке)за неаккуратность прости)
Приложения:
Ответ дал: Ichapanova
0
x=-5 и x=0 и x=9
Ответ дал: Nastja32
0
спасибо огромное тебе
Вас заинтересует