• Предмет: Алгебра
  • Автор: rosto4ik
  • Вопрос задан 10 лет назад

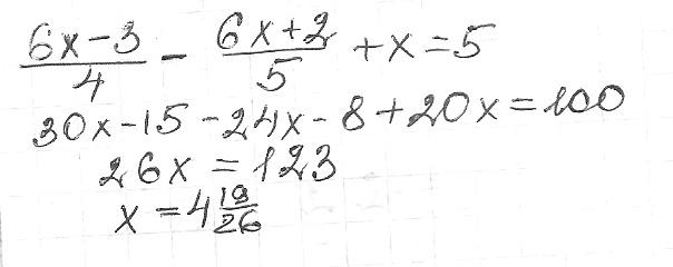
решение и ответ 7 класс задание 4

Приложения:

Ответы

Ответ дал: Ellenochka
0
4. по моим расчетам x=4 frac{19}{26}
Приложения:
Вас заинтересует