Решите пожалуйста,очень надо.
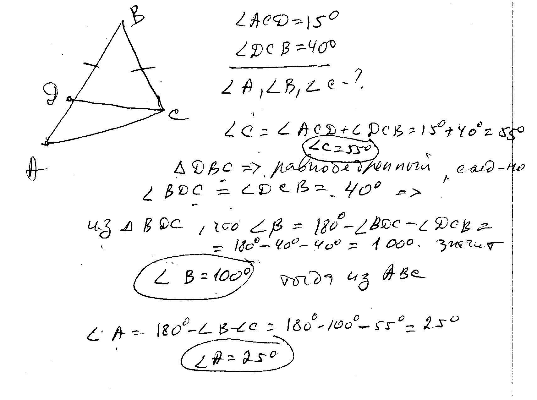
На стороне AB треугольника ABC отметили точку D так,что BD=BC,угол ACD=15 градусам,угол DCB =40 градусам.Найдите углы треугольника ABC
Ответы
Ответ дал:
0
На
стороне AB треугольника ABC отметили точку D так, что BD=BC, угол ACD =
15 градусам, угол DCB = 40 градусам. Найдите углы треугольника ABC.
Приложения:

Вас заинтересует
2 года назад
7 лет назад
10 лет назад
10 лет назад