• Предмет: Алгебра
  • Автор: kosades
  • Вопрос задан 10 лет назад

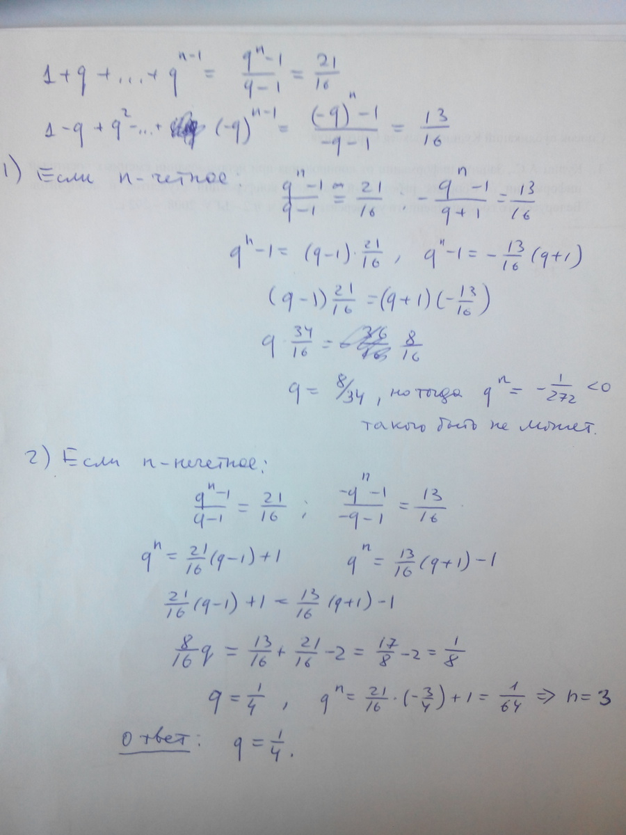
Сумма членов конечной геометрической прогрессии, первый член которой равен 1, а знаменатель положителен, равна 21/16, а сумма тех же членов с чередующимися знаками (первый со знаком +, второй со знаком - и т.д.) равна 13/16. Найдите знаменатель прогрессии

Ответы

Ответ дал: Denik777
0
Решение прицеплено в картинке
Приложения:
Вас заинтересует