Проверьте правильно ли я решил уравнения если нет то укажите ошибку.Заранее спасибо!
Приложения:




Ответы
Ответ дал:
0
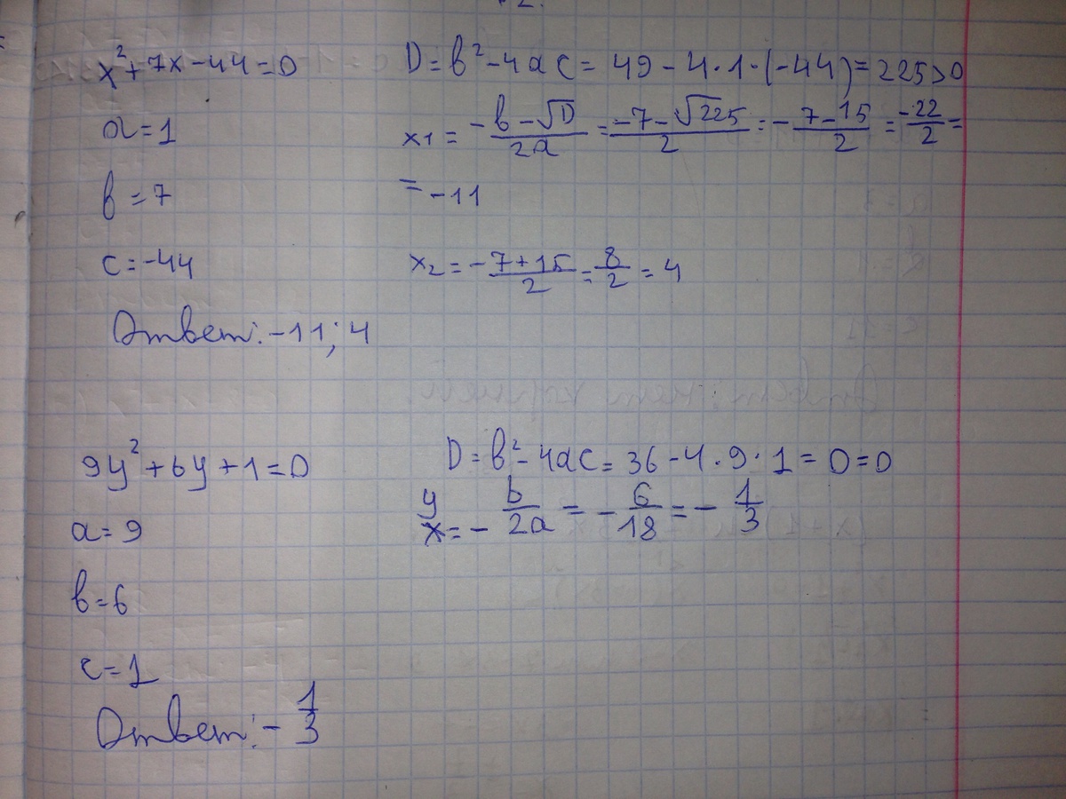
Ошибка в этом уравнении:
7х-3х²=0
3х²-7х=0 (правильно)
Д=49 (правильно)
х₁=(-7+√49) = -7+7=0 (Здесь ошибка)
2*3 6
Правильно:
х₁=7+7 = 14 = 7
6 6 3
х₂=(-7-√49)=-7-7=-14 = -7 (Здесь ошибка)
2*3 6 6 3
Правильно:
х₂=7-7 = 0
6
Ответ: 0; 7/3.
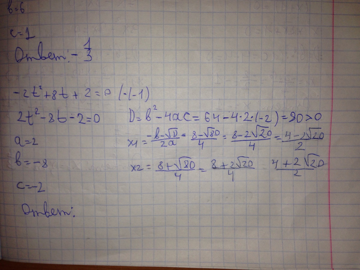
Есть другой способ решения таких уравнений:
7х-3х²=0
х(7-3х)=0
х₁=0 7-3х=0
7=3х
х₂=7/3
Ответ: 0; 7/3.
В уравнении
-2t²+8t+2=0
все правильно, но можно еще сократить:
х₁= 4-2√20 =2(2-√20) = 2-√20=2-√4 * √5=2-2√5
2 2
х₂=2+2√5
Ответ: х₁=2-2√5
х₂=2+2√5
7х-3х²=0
3х²-7х=0 (правильно)
Д=49 (правильно)
х₁=(-7+√49) = -7+7=0 (Здесь ошибка)
2*3 6
Правильно:
х₁=7+7 = 14 = 7
6 6 3
х₂=(-7-√49)=-7-7=-14 = -7 (Здесь ошибка)
2*3 6 6 3
Правильно:
х₂=7-7 = 0
6
Ответ: 0; 7/3.
Есть другой способ решения таких уравнений:
7х-3х²=0
х(7-3х)=0
х₁=0 7-3х=0
7=3х
х₂=7/3
Ответ: 0; 7/3.
В уравнении
-2t²+8t+2=0
все правильно, но можно еще сократить:
х₁= 4-2√20 =2(2-√20) = 2-√20=2-√4 * √5=2-2√5
2 2
х₂=2+2√5
Ответ: х₁=2-2√5
х₂=2+2√5
Вас заинтересует
2 года назад
7 лет назад
7 лет назад
10 лет назад
10 лет назад