• Предмет: Геометрия
  • Автор: Kistenika
  • Вопрос задан 11 лет назад

Решите пожалуйста!
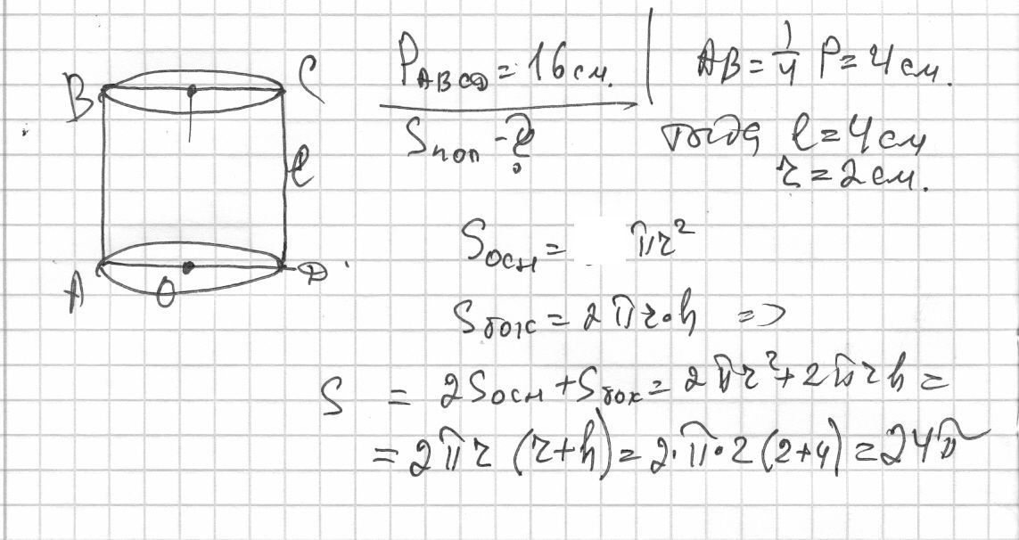
Осевое сечение цилиндра - квадрат с периметром 16 см. Найдтите площадь полной поверхности цилиндра.

Ответы

Ответ дал: ужнеужели
0
Осевое сечение цилиндра - квадрат с периметром 16 см. Найдите площадь полной поверхности цилиндра.
Приложения:
Вас заинтересует