Ответы
Ответ дал:
0
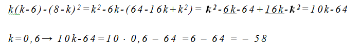
Ответ в приложении, пользуйтесь
Приложения:

Вас заинтересует
2 года назад
7 лет назад
7 лет назад
10 лет назад
10 лет назад
10 лет назад