• Предмет: Геометрия
  • Автор: Юлeнька
  • Вопрос задан 11 лет назад

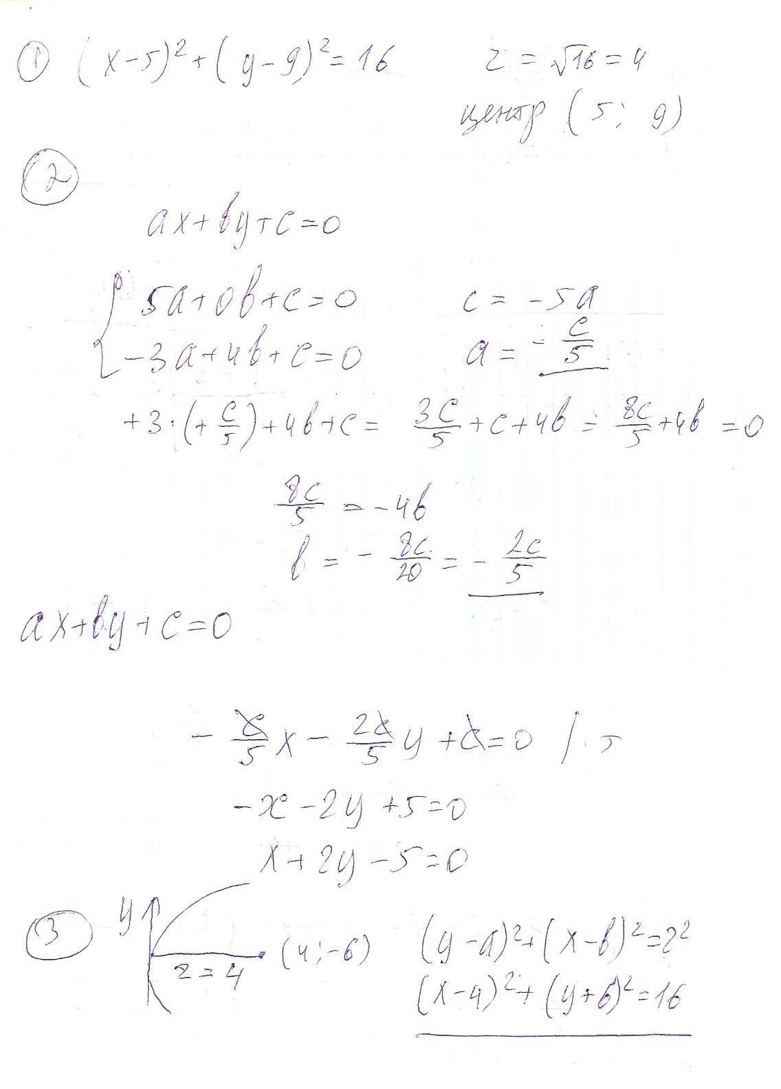
пожалуйста решите что-то из этих заданий) но лучше все)

Приложения:

Ответы

Ответ дал: Mitrofanova
0

3. Там было уравнение окружности:

центр (5;9)

радиус  равен 4

Ответ дал: Artem112
0

надеюсь понятно будет...

Приложения:
Вас заинтересует