• Предмет: Алгебра
  • Автор: Orlova10
  • Вопрос задан 10 лет назад

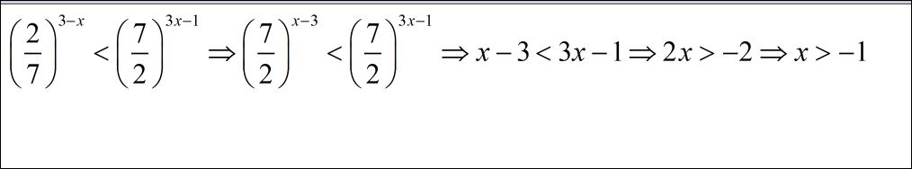
Решить неравенство:

Приложения:

Ответы

Ответ дал: Аноним
0
решение смотри во вложении...........................
Приложения:
Ответ дал: Egorka007
0
1111111111111111111111111111111111111111111
Приложения:
Вас заинтересует