• Предмет: Математика
  • Автор: полинка2405
  • Вопрос задан 10 лет назад

ПОМОГИТЕ СРОЧНО!
Упростите выражение:
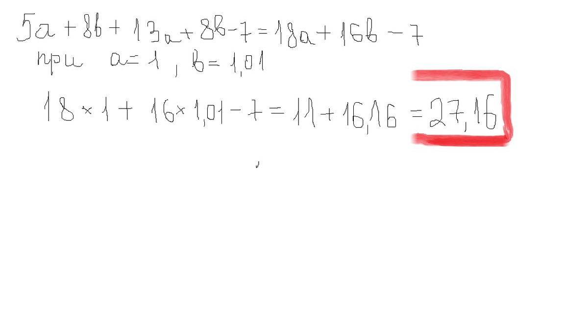
+5а+8b+13a+8b-7
При а=+1
б=1.01

Ответы

Ответ дал: aziza03
0

5а+8b+13a+8b-7=18а+16b-7.
я выражение написала какое получится,а теперь вместо букв подставляешь числа и получится у тебя ттог этого выражения.
При а=+1
б=1.01
Ответ дал: Ichapanova
0
Вот решение)за неаккуратность ссори)

Приложения:
Вас заинтересует