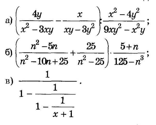
Решите второе пожалуйста, а то я уже реально задрался, 2 часа не могу решить
Устал капец, умоляю помогите
Приложения:
Ответы
Ответ дал:
0
-------------------------------------------------------
такая проверка --- абсолютное доказательство!!!
можете уверенно доказывать свою правоту...
такая проверка --- абсолютное доказательство!!!
можете уверенно доказывать свою правоту...
Приложения:
Ответ дал:
0
знаете как можно проверить... подставить вместо н любое число, вычислить без применения формул (в лоб))) и вычислить значение получившегося в конце наших преобразований выражения))0 если получится одно и то же значение -- тогда мы с Вами правы...
Ответ дал:
0
сейчас так сделаю)))
Ответ дал:
0
бывает)))
Вас заинтересует
2 года назад
2 года назад
8 лет назад
8 лет назад
10 лет назад
11 лет назад