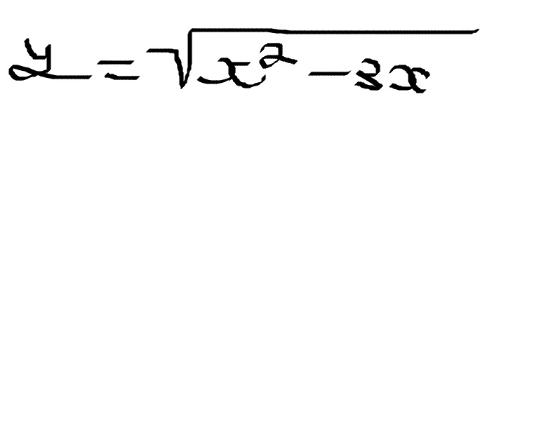
Помогите пожалуста....Знайдіть область визначення функції.на фото есть завтра контролная
Приложения:

Ответы
Ответ дал:
0
x принадлежит от (минус бесконечности ; 0 ] и [3; до плюс бесконечности ) Все
Ответ дал:
0
Если спросят , ты методом интервалов решал
Вас заинтересует
2 года назад
2 года назад
7 лет назад
7 лет назад
10 лет назад
10 лет назад
10 лет назад