30 баллов!!! Упростить выражение!!!!!
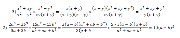
x^2+xy/x^2-y^2*x^3-y^3/xy(x+y)
2a^3-2b^3/3a+3b*15a^2-15b^2/a^2+ab+b^2
Приложения:

Ответы
Ответ дал:
0
Держи. Вот всё решение. Жду лучшего ответа. На картинке всё решение!
Приложения:

Вас заинтересует
2 года назад
2 года назад
7 лет назад
7 лет назад
10 лет назад
10 лет назад
10 лет назад