log по основанию 8(4-2 log c основанием 6 ( 5-х))=1/3
решите пожалуйста, очень надо!!
Спасибо заранее!!
Ответы
Ответ дал:
0
используй определение логарифма
логарифм-это такой показатель степени в которую надо возвести основание,чтобы получить выражени,сто)щее в логарифме
Приложения:

Ответ дал:
0
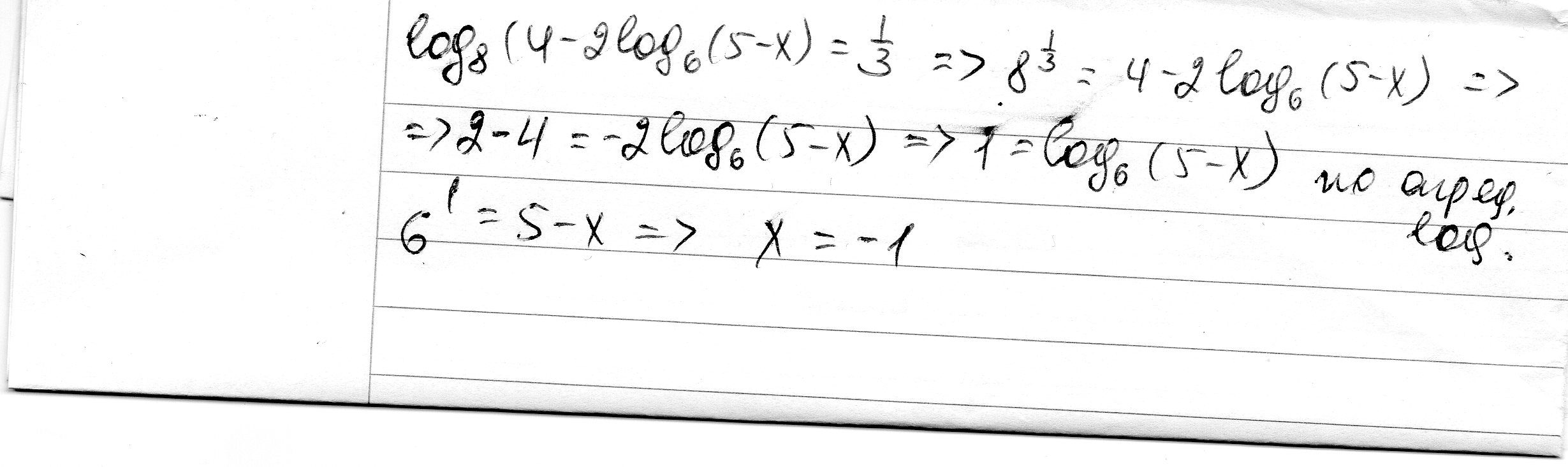
log(8,(4-2log(6,(5-x)))=1/3
log(8,(4-2log(6,(5-x)))=log(8,8^(1/3))
4-2log(6,(5-x))=2
2=2log(6,(5-x))
log(6,(5-x))=1
log(6,(5-x))=log(6,6)
5-x=6
x=-1.
Вот и все.
Приложения:

Вас заинтересует
2 года назад
2 года назад
8 лет назад
8 лет назад
10 лет назад
10 лет назад