Помогите расписать примеры в столбик.(Если можно на листочке бумаги,фото)
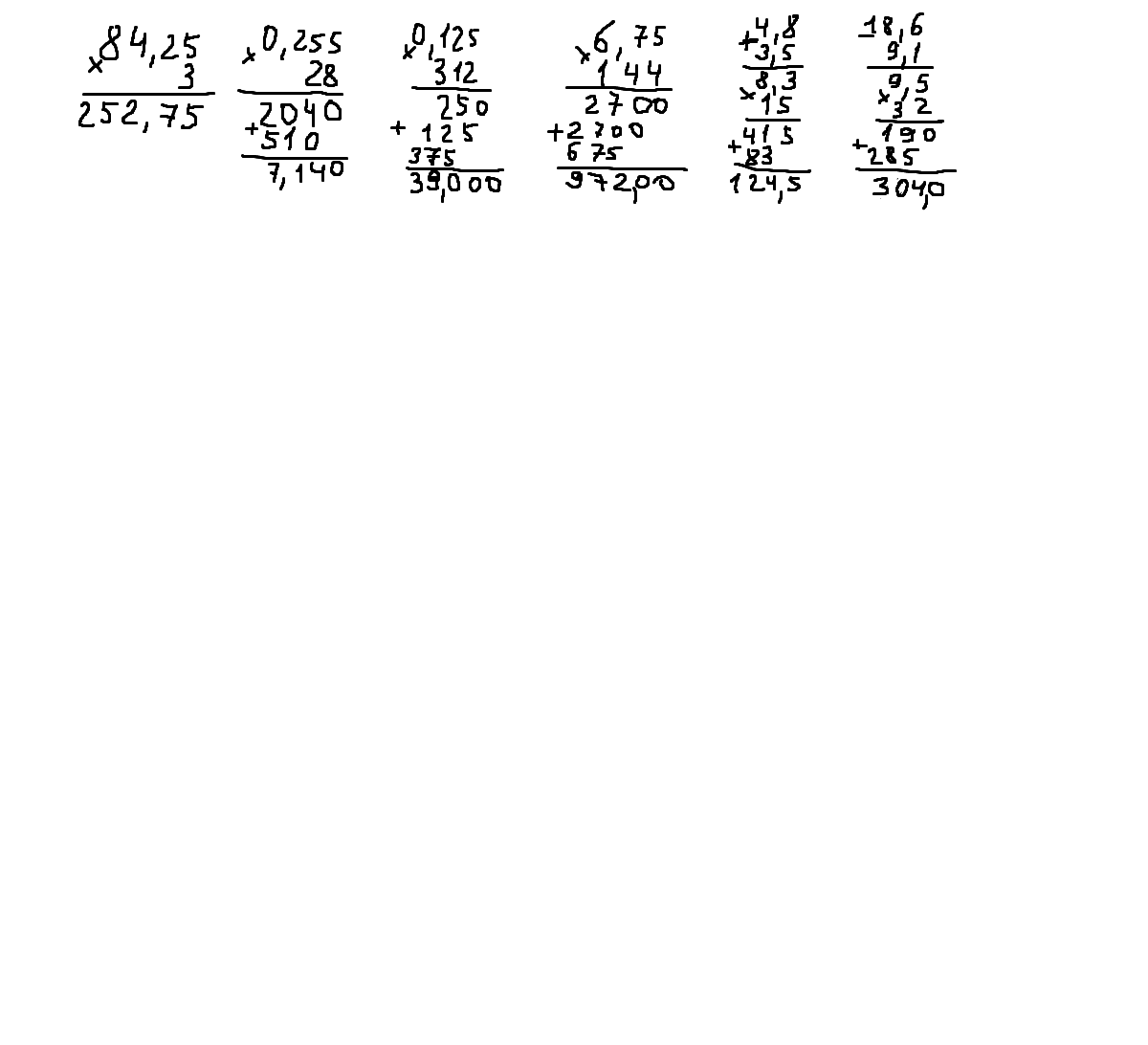
84,25*3=?
0,255*28=?
0,125*312=?
6,75*144=?
(4,8+3,5)*15=?
(18,6-9,1)*32=?
Ответы
Ответ дал:
0
Смотреть во вложении
Приложения:

Ответ дал:
0
...................................................................
Приложения:

Вас заинтересует
2 года назад
2 года назад
7 лет назад
7 лет назад
10 лет назад
10 лет назад