• Предмет: Алгебра
  • Автор: Moneymaker
  • Вопрос задан 11 лет назад

вложенное задание помогите пожалуйста

только то что написанно черным,заранее спасибо

 

 

Приложения:

Ответы

Ответ дал: ATLAS
0

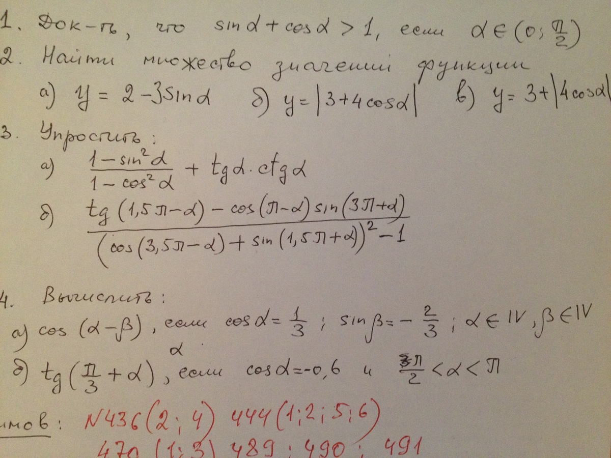
2. a)y=2-3sina

      E(sina)=[-1;1]

      E(-3sina)=-3[-1;1]=[-3;3]

      E(2-3sina)=[-1;5]

 

    b)y=|3+4cosa|

      E(cosa)=[-1;1]

      E(4cosa)=[-4;4]

      E(3+4cosa)=[-1;7]

      E(|3+4cosa|)=[0;7]

 

    c)y=3+|4cosa|

      E(cosa)=[-1;1]

      E(4cosa)=[-4;4]

      E(|4cosa|)=[0;4]

      E(3+|4cosa|)=[3;7]

 

 

3. а) frac{1-sin^{2}}{1-cos^{2}x}+tgx*ctgx=frac{cos^{2}x}{sin^{2}x}+1=ctg^{2}x+1

 

b) frac{tg(1,5pi-a)-cos(pi-a)sin(3pi+a)}{(cos(3,5pi-a)+sin(1,5pi+a))^{2}-1}=frac{ctga-cosasina}{(-sina-cosa)^{2}-1}=frac{frac{cosa}{sina}-frac{cosasin^{2}a}{sina}}{(sina+cosa)^{2}-1}=

 

=frac{frac{cosa(1-sin^{2}a}{sina}}{sin^{2}a+2sinacosa+cos^{2}a-sin^{2}a-cos^{2}a}=frac{cosacos^{2}a}{sina*2sinacosa}=frac{cos^{2}a}{2sin^{2}a}=

 

=frac{1}{2}ctg^{2}a

 

4.a) cos(a-b)=cosacosb+sinasinb

 

      cosa=1/3   sina-? 

 

     sina=+-sqrt{1-cos^{2}a}=+-sqrt{1-(frac{1}{3})^{2}}=+-sqrt{frac{8}{9}}=+-frac{2sqrt{2}}{3}

 

     sina=frac{2sqrt{2}}{3}

 

     sinb=-2/3   cosb-?

 

     cosb=+-sqrt{1-sin^{2}b}=+-sqrt{1-(-frac{2}{3})^{2}}=+-sqrt{frac{5}{9}}=+-frac{sqrt{5}}{3}

 

    cosb=frac{sqrt{5}}{3}

 

   cos(a-b)=frac{1}{3}*frac{sqrt{5}}{3}+(-frac{2sqrt{2}}{3})*(-frac{2}{3})=frac{sqrt{5}+4sqrt{2}}{9}

 

4.b)tg(pi/3+a)=frac{tgpi/3+tga}{1-tgpi/3*tga}

 

     tga=frac{sina}{cosa}

 

    cosa=-0,6

 

    sina=+-sqrt{1-cos^{2}a}=+-sqrt{1-(-0,6)^{2}}=+-0,8

 

    sina=0,8

 

    tga=frac{0,8}{-0,6}=-frac{4}{3}    tgpi/3=sqrt{3}

 

    tg(pi/3+a)=frac{sqrt{3}-frac{4}{3}}{1+sqrt{3}*frac{4}{3}}=frac{3sqrt{3}-4}{1+4sqrt{3}}

 

 

 

    

Вас заинтересует