Ответы
Ответ дал:
0
вООООООООООООООООООООООтт)
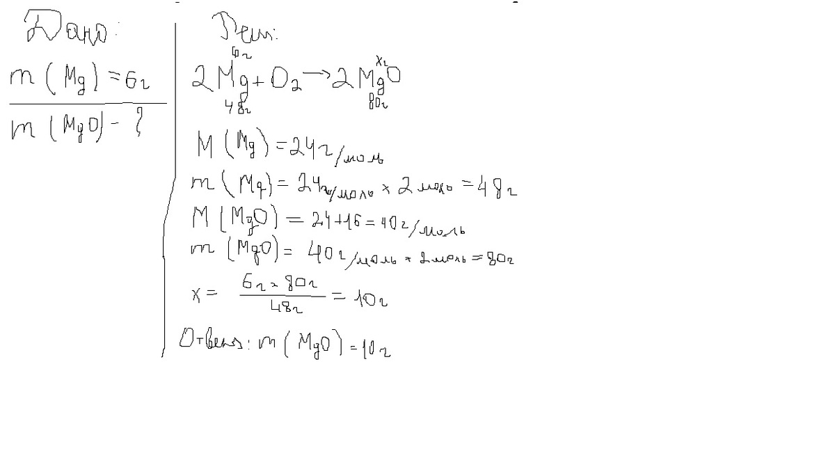
Приложения:

Ответ дал:
0
Спасибо!!!
Вас заинтересует
2 года назад
2 года назад
7 лет назад
7 лет назад
10 лет назад
10 лет назад
10 лет назад