• Предмет: Математика
  • Автор: agarysova14
  • Вопрос задан 10 лет назад

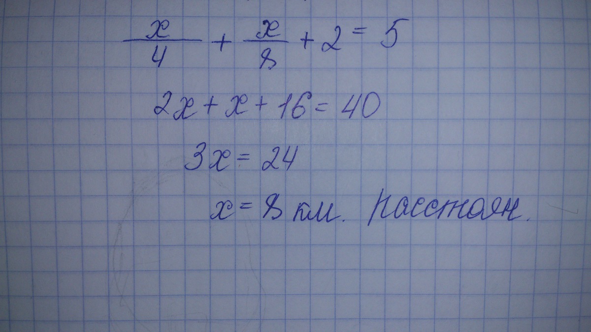
рыболов в 5 часов утра на моторной лодке оправился от пристани против течения реки , через некоторое время бросил якорь, 2 часа ловил рыбу и вернулся обратно в 10 часов утра того же дня. на какое расстояние от пристани он отдалился, если скорость реки равна 2км/ч, а собственная скорость лодки 6км 6км/ч

Ответы

Ответ дал: SuperMatematichka
0
Весь пример здесь, если подумать, то догадаться можно
Приложения:
Ответ дал: agarysova14
0
спасибо большое
Вас заинтересует