Ответы
Ответ дал:
0
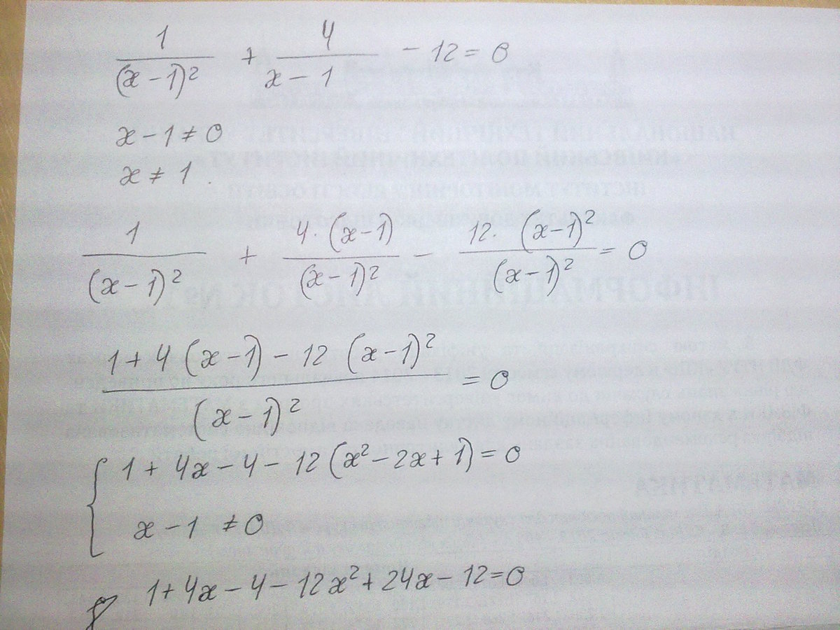
12(x-1)²-4(x-1)-1=0
ОДЗ: x≠1
(x-1)=t
12t²-4t-1=0
D/4=4+12=16
t=(2+-4)/12=1/2 или -1/6
x-1=1/2
x=3/2=1.5
или
x-1=-1/6
x=5/6
ОДЗ: x≠1
(x-1)=t
12t²-4t-1=0
D/4=4+12=16
t=(2+-4)/12=1/2 или -1/6
x-1=1/2
x=3/2=1.5
или
x-1=-1/6
x=5/6
Ответ дал:
0
подставь мой второй полученный ответ (5/6) в уравнение, он тоже подходит;) так что у тебя неполное решение.
Ответ дал:
0
главное не забыть, что х!=1 (х не равен единице)
обращайся :D
обращайся :D
Приложения:


Вас заинтересует
2 года назад
7 лет назад
10 лет назад
10 лет назад
10 лет назад