Ответы
Ответ дал:
0
все решения в приложении:
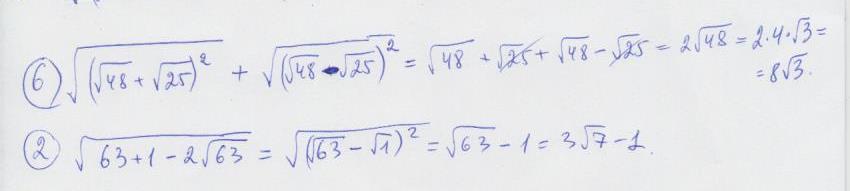
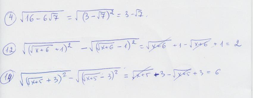
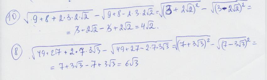
(P.s. принцип такой: надо подкоренное выражение привести к квадрату разности или квадрату суммы)
(P.s. принцип такой: надо подкоренное выражение привести к квадрату разности или квадрату суммы)
Приложения:
Вас заинтересует
3 года назад
8 лет назад
8 лет назад
10 лет назад