• Предмет: Математика
  • Автор: Dommil
  • Вопрос задан 10 лет назад

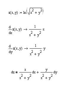
Найти производную ln(корень из x^2+y^2)

Ответы

Ответ дал: volic
0
Решение смотрите во вложении
Приложения:
Вас заинтересует