• Предмет: Алгебра
  • Автор: LiLoMy
  • Вопрос задан 10 лет назад

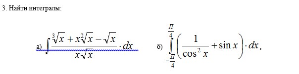
Помогите решить интегралы, очень нужно)
Заранее благодарю)

Приложения:

Ответы

Ответ дал: Аноним
0
 intlimits { frac{ sqrt[3]{x} +x^2 sqrt{x} - sqrt{x} }{x sqrt{x} } } , dx= frac{6x^{frac{5}{6}}  }{5} + frac{x^3}{3} -x+C

 intlimits^ frac{ pi }{4} _{- frac{ pi }{4} } {( frac{1}{cos^2x}+sin x) } , dx =tg x-cos x|^frac{ pi }{4}_{-frac{ pi }{4}}=2
Вас заинтересует