• Предмет: Алгебра
  • Автор: анюточкаточка
  • Вопрос задан 10 лет назад

очень очень срочно только номер 20

Приложения:

Ответы

Ответ дал: Аноним
0
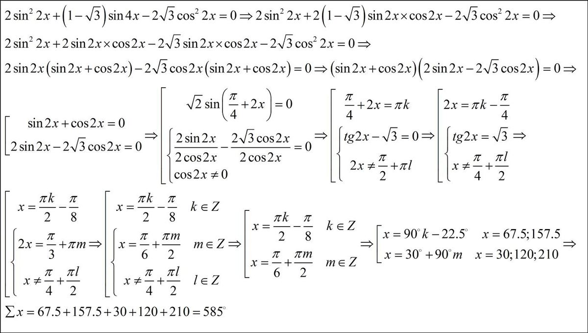
решение смотри во вложении................
Приложения:
Вас заинтересует