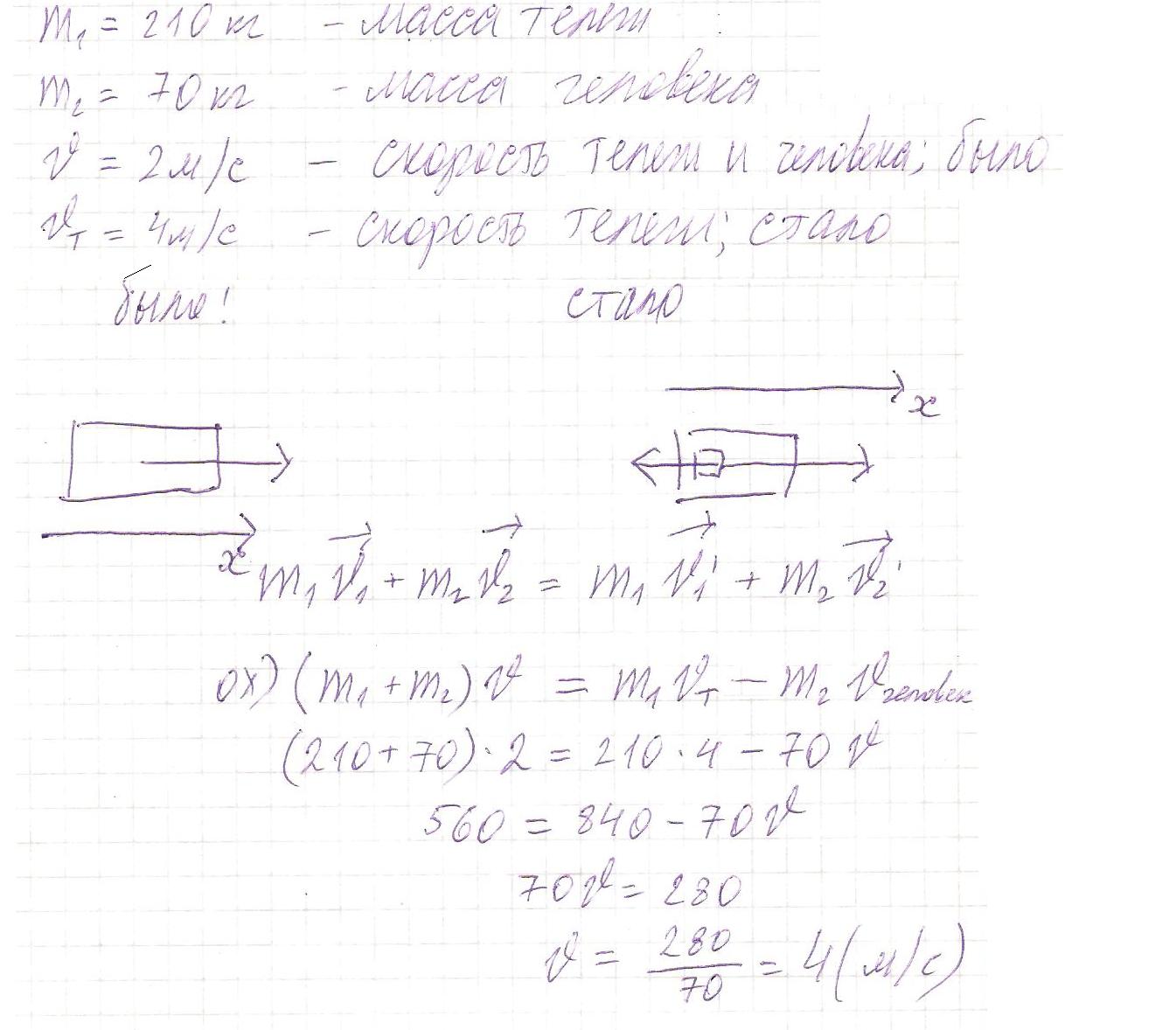
С тележки массой 210 кг, движущейся горизонтально со скоростью 2м/с, в противоположную сторону прыгает человек массой 70 кг. Какова скорость человека при прыжке, если скорость тележки стала равна 4м/с.
Ответы
Ответ дал:
0
надеюсь понятно будет...
Приложения:
Вас заинтересует
3 года назад
3 года назад
8 лет назад
8 лет назад
11 лет назад
11 лет назад
11 лет назад