Ответы
Ответ дал:
0
Решение во вложенном файле
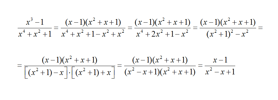
Пояснение: В числителе просто раскраываем как разность кубов. В знаменателе прибавляем и отнимаем x², затем собираем как квадрат суммы, и полученный результат разворачиваем как разность квадратов (x²+1) и x². Один из полученных сомножителей сокращается с многочленом в числителе
Пояснение: В числителе просто раскраываем как разность кубов. В знаменателе прибавляем и отнимаем x², затем собираем как квадрат суммы, и полученный результат разворачиваем как разность квадратов (x²+1) и x². Один из полученных сомножителей сокращается с многочленом в числителе
Приложения:
Вас заинтересует
3 года назад
3 года назад
8 лет назад
8 лет назад
10 лет назад
10 лет назад
11 лет назад