• Предмет: Алгебра
  • Автор: Аноним
  • Вопрос задан 10 лет назад

Решите пожалуйста)) Заранее большое спасибо))

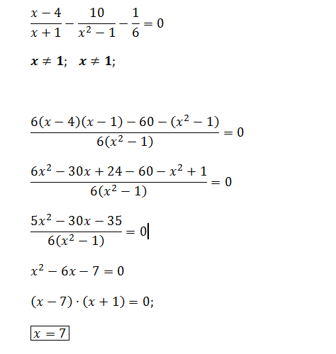
Приложения:

Ответы

Ответ дал: ShirokovP
0
Решение внутри
----------------------------------
Приложения:
Ответ дал: Аноним
0
ТЫ САМ РЕШАЛ ?
Вас заинтересует