Ответы
Ответ дал:
0
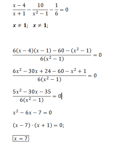
Решение внутри
---------------------------
---------------------------
Приложения:

Ответ дал:
0
ответь
Вас заинтересует
2 года назад
2 года назад
7 лет назад
10 лет назад
10 лет назад