Ответы
Ответ дал:
0
3^n*0,04^(n-2)
----------------------- =
3^(n-2)*0,2^(2n-3)
3^n*0,02^(2n-4)
----------------------- =
3^(n-2)*0,2^(2n-3)
3^(-2)*0,02^(1)= 1/9*0,02=1/9*2/100=2/900=1/450
----------------------- =
3^(n-2)*0,2^(2n-3)
3^n*0,02^(2n-4)
----------------------- =
3^(n-2)*0,2^(2n-3)
3^(-2)*0,02^(1)= 1/9*0,02=1/9*2/100=2/900=1/450
Ответ дал:
0
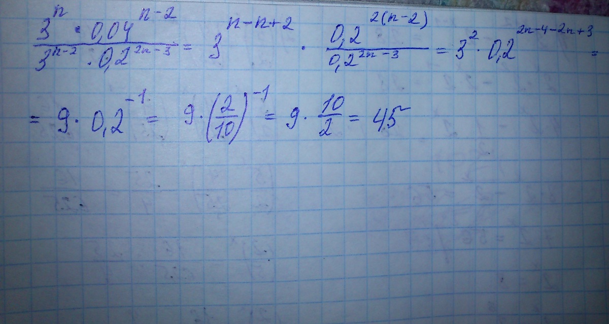
Предыдущее решение неверное, смотри это)
Приложения:
Ответ дал:
0
Спасибо большое, сошлось с ответом :3
Вас заинтересует
3 года назад
8 лет назад
8 лет назад
10 лет назад
10 лет назад
11 лет назад