Ответы
Ответ дал:
0
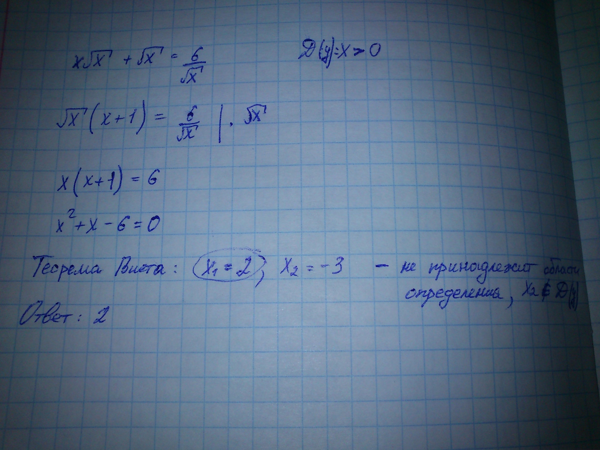
приводишь к общ знаменателю получается x^2+x=6
переносишь 6 x^2+x-6=0
Дискриминант 1+24=25=5^2
x1=-1+5/2=2 x2=-1-5/2=-3
переносишь 6 x^2+x-6=0
Дискриминант 1+24=25=5^2
x1=-1+5/2=2 x2=-1-5/2=-3
Ответ дал:
0
блаблаблаблаблаблабла
Приложения:
Вас заинтересует
3 года назад
8 лет назад
10 лет назад
10 лет назад
11 лет назад