• Предмет: Алгебра
  • Автор: roman432
  • Вопрос задан 10 лет назад

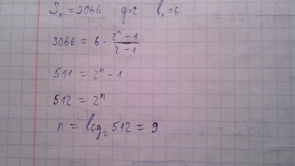
Сколько членов геометрической прогрессии 6 12 24 .... надо сложить, чтобы полученная сумма была равна 3066

Ответы

Ответ дал: Sagacious
0
Основная формула S_n=b_1 frac{1-q^n}{1-q} = b_1 frac{q^n-1}{q-1}, q neq 1. Решение этого примера сведется к решение показательного уравнения
Приложения:
Вас заинтересует