• Предмет: Алгебра
  • Автор: alinap98
  • Вопрос задан 10 лет назад

Решите пожалуйста !!!! Тема показательные неравенства !!! Желательно полностью !!!

Приложения:

Ответы

Ответ дал: SkyBy
0
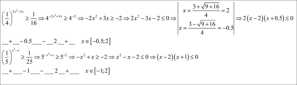
Смотрите решение в прикреплённом файле.
Приложения:
Ответ дал: Аноним
0
решение смотри во вложении................
Приложения:
Вас заинтересует