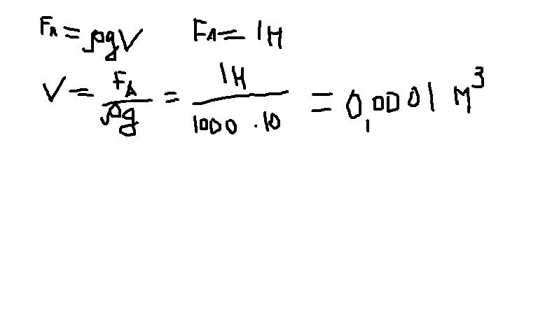
Каков объём подвешенного к динамометру груза если при его погружении в воду показания динамометре уменьшается на 1H?
Ответы
Ответ дал:
0
Решение ниже на фото
Приложения:

Вас заинтересует
2 года назад
2 года назад
7 лет назад
7 лет назад
10 лет назад
10 лет назад
10 лет назад