Ответы
Ответ дал:
0
1-ое в тетрадке на фото
2-ое
для начала упростим tg(π/4-x/2) использую табличную формулу для тангенса разности:
tg(π/4-x/2) = (tgπ/4 – tgx/2)/ (1 + tgπ/4 * tgx/2) = (1 – tgx/2)/(1 + tgx/2) (1)
sinx = 2(tgx/2)/(1 + tg²x/2) (2)
1 + sinx = 1 + 2(tgx/2)/(1 + tg²x/2) = (1 + tgx/2)²/(1 + tg²x/2) (3)
делаем подстановки (1), (2) и (3) в исходное выражение:
2(tgx/2)/(1 + tg²x/2) / {[(1 – tgx/2)/(1 + tgx/2)] *[(1 + tgx/2)²/(1 + tg²x/2)]} = 2(tgx/2)/(1 + tg²x/2) / {[(1 - tgx/2) * (1 + tgx/2)] / (1 + tg²x/2)} = 2(tgx/2)/(1 + tg²x/2) / [(1 - tg²x/2) / (1 + tg²x/2)] = 2(tgx/2)/(1 - tg²x/2) = tgx
Ответ: sinx/tg(П/4-x/2)(1+sinx) = tgx
3///2sin3xcos5x - sin8x= sin8x -sin2x -sin8x = -sin2x
sinx-cosx=0,9
(sinx-cosx)^2=0,81
1-2sinxcosx=0,81
-sin2x = -0,19
ответ -0,19
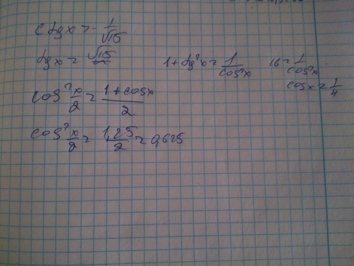
4/// ctgx=
на фото 4
на фото 5 моя старшая сестра делала)
6 Б
1+cosx-ctgx/2=0
1+cosx=2cos^2(x/2) => 2cos^2(x/2)=ctgx/2 =>2cos^2(x/2)-cos(x/2)/sin(x/2)=0 cos(x/2)*(2cos(x/2)-1/sin(x/2)=0
cos(x/2)=0 2cos(x/2)-1/sin(x/2)=0 (2cos(x/2)*sin(x/2)-1)/sin(x/2)=0 sin(x/2)не=0 x/2не=p*n x не=2p*n n(- Z
cos(x/2)=0 x/2=p/2+p*n x=pi+2p*n ,
2cos(x/2)*sin(x/2)-1=0 sinx-1=0 sinx=1 x=pi/2+2p*n
а на фото
7 на фото ответ -1
8
пусть sinx+cosx=t
5(t^2-1)-11t+7=0
5t^2-11t+2=0
t1=2 не подходит
t2=0,2
six+cosx=0,2
тут повангуем, место для фото не осталось разделим на корень из 2/10
sin(x+p/4)=кореньиз2/10
x=(-1)^n*arcsinкорнейиз2/10-p/4+pn
все
2-ое
для начала упростим tg(π/4-x/2) использую табличную формулу для тангенса разности:
tg(π/4-x/2) = (tgπ/4 – tgx/2)/ (1 + tgπ/4 * tgx/2) = (1 – tgx/2)/(1 + tgx/2) (1)
sinx = 2(tgx/2)/(1 + tg²x/2) (2)
1 + sinx = 1 + 2(tgx/2)/(1 + tg²x/2) = (1 + tgx/2)²/(1 + tg²x/2) (3)
делаем подстановки (1), (2) и (3) в исходное выражение:
2(tgx/2)/(1 + tg²x/2) / {[(1 – tgx/2)/(1 + tgx/2)] *[(1 + tgx/2)²/(1 + tg²x/2)]} = 2(tgx/2)/(1 + tg²x/2) / {[(1 - tgx/2) * (1 + tgx/2)] / (1 + tg²x/2)} = 2(tgx/2)/(1 + tg²x/2) / [(1 - tg²x/2) / (1 + tg²x/2)] = 2(tgx/2)/(1 - tg²x/2) = tgx
Ответ: sinx/tg(П/4-x/2)(1+sinx) = tgx
3///2sin3xcos5x - sin8x= sin8x -sin2x -sin8x = -sin2x
sinx-cosx=0,9
(sinx-cosx)^2=0,81
1-2sinxcosx=0,81
-sin2x = -0,19
ответ -0,19
4/// ctgx=
на фото 4
на фото 5 моя старшая сестра делала)
6 Б
1+cosx-ctgx/2=0
1+cosx=2cos^2(x/2) => 2cos^2(x/2)=ctgx/2 =>2cos^2(x/2)-cos(x/2)/sin(x/2)=0 cos(x/2)*(2cos(x/2)-1/sin(x/2)=0
cos(x/2)=0 2cos(x/2)-1/sin(x/2)=0 (2cos(x/2)*sin(x/2)-1)/sin(x/2)=0 sin(x/2)не=0 x/2не=p*n x не=2p*n n(- Z
cos(x/2)=0 x/2=p/2+p*n x=pi+2p*n ,
2cos(x/2)*sin(x/2)-1=0 sinx-1=0 sinx=1 x=pi/2+2p*n
а на фото
7 на фото ответ -1
8
пусть sinx+cosx=t
5(t^2-1)-11t+7=0
5t^2-11t+2=0
t1=2 не подходит
t2=0,2
six+cosx=0,2
тут повангуем, место для фото не осталось разделим на корень из 2/10
sin(x+p/4)=кореньиз2/10
x=(-1)^n*arcsinкорнейиз2/10-p/4+pn
все
Приложения:





Ответ дал:
0
под конец запарился делать
Вас заинтересует
2 года назад
7 лет назад
10 лет назад
10 лет назад